T형 회로와 파이형 회로의 4단자 정수
2025. 12. 18. 19:46ㆍElectronic Engineering/전자기학(전기기사)

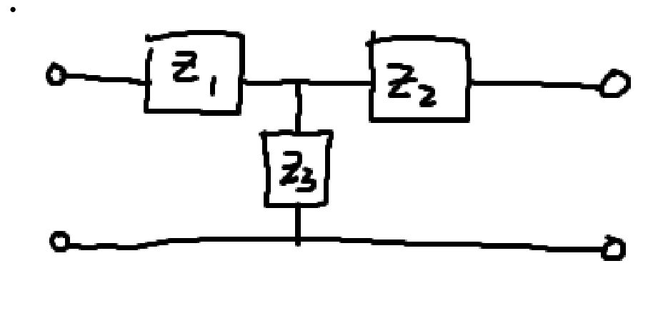
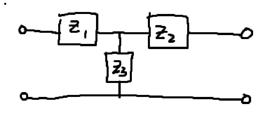
T자형 회로는 위와 같이 생겼는데, 이는 Y결선의 해석에 주로 사용된다. 문제는 이놈의 4단자 정수를 구하는 방법인데, 그냥 외우는 방법도 있지만 아래와 같은 행렬 곱들을 외우면 이해도 쉽고 암기도 쉬울 것이다.

파이형 회로의 경우에는 델타 결선과 주로 연관지을 수 있는데, 이 또한 그냥 각각의 elem에 대한 특성 행렬의 곱이라고 이해하면 편하다. 굳이 전개해서 나온 끔찍한 결과물로 외워줘야 하는지는 의문.
그리고 추가적으로, 지금까지 위에서는 전송파라미터를 사용해서 열심히 지지고 볶았다. 하지만 z파라미터를 사용해서 T형 회로/Y파라미터를 사용해서 pi형 회로를 해석할 수도 있다. 이때 z파라미터라는건 대걍 전압을 전류로 표현하는 것이라고 생각하면 된다.
'Electronic Engineering > 전자기학(전기기사)' 카테고리의 다른 글
| 4단자망의 기본식 (0) | 2025.12.17 |
|---|---|
| 비정현파 AC (0) | 2025.12.16 |
| RLC회로와 벡터 (0) | 2025.12.12 |
| 히스테리시스 곡선 (0) | 2025.12.08 |
| 비오-사바르 법칙과 자계 (0) | 2025.12.05 |