2025. 12. 12. 15:31ㆍElectronic Engineering/전자기학(전기기사)


인덕터는 전류 변화에 저항하는 존재(완충기)이고, 커패시터는 전압 변화에 저항하는 존재입니다. 따라서 L 단독 회로에 AC 전원을 주면 - 인덕터에 걸리는 전압에 비해서 전류가 1/4주기 정도 밀립니다. 반면 C 단독 회로의 경우에는 AC 전원을 주면 - 커패시터에 걸리는 전압에 비해서 전류가 1/4주기 정도 빨라집니다. 이를 수식으로 표현하면 대강 아래와 같습니다.


다만 문제는 여러분이 L/C를 단독으로 사용할 일은 거의 없다는 점이며, 개별 소자의 전압에 대해서는 위의 식이 먹힐수는 있겠으나 종합적으로 보면 좀 끔찍한 괴물이 탄생합니다. 따라서 우리는 여러가지 조합에 대해서 좀 알아볼 필요가 있습니다.
R-L 직렬회로

직렬에서는 전압 분배에 따라서, V = V_r + V_l이 됩니다. 이는 계산하면 곧 아래와 같이 되는데...

대충 보자하니 합성 벡터가 0~90도 차이 정도 나게 되고, 결론적으로 전압의 그래프를 그리게 되면 전압이 빠르게 바뀌게 된 다는 점을 알 수 있습니다.(V_r의 방향이 i의 궤적과 동일합니다) 순수일때랑 헷갈리시면 안됩니다!
R-C 직렬회로


와 같이 생각해 볼수 있겠습니다. 여기서 리액턴스 X는 1/wc가 되겠습니다. (인덕턴스의 리액턴스는 참고로 wL이 됩니다.) 그리고 보다시피 - 합성전압이 전류 보다 0~90도 정도 뒤지게 된다는 것을 알 수 있습니다.
참고로 전압과 전류의 위상차에 Cos를 취한 값을 역률이라고 하는데, 이는 아래와 같이 계산 가능합니다.

R-L-C 직렬회로 (라디오)

이젠 R-L-C를 하나로 이었습니다. 즉 다시 말해서, 합성해야 될 벡터가 3개 정도 된다는 소리입니다. 따라서 생각해보면...


가 됩니다. 다만 이에 관해서 생각해보면.. L의 리액턴스가 더 큰 경우 (즉, 유도성 리액턴스인 경우) 전류가 합성 전압에 비해서 뒤지게 됩니다. C의 리액턴스가 더 큰 경우 (용량성 리액턴스인 경우) 전류가 합성 전압에 비해서 빠르게 됩니다.
이때 눈치가 빠르신 분들은 알겠지만, X_L = X_C가 되게 된다면 리액턴스는 0이 될 것입니다. 즉, 회로에 전류가 흐른다 치면 - 특정 주파수로 흐르는 전류를 선택적으로 뽑아내서 잘 받아들일 수 있게 됩니다! 아 물론 다른 주파수의 전류라고 못 받는건 아닙니다만. 어쨋든 이때의 공식은 아래와 같습니다.

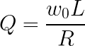
그리고 RLC 공진에는 유명한 현상이 있는데 - 바로 공진점에서 코일과 캐패시터 양단 전압/전류가 입력보다 훨씬 커진다는 점입니다. 그러니까 대충 전압확대율(교류에서는 전류확대율, Q)가 50이라 치면 L이나 C의 양단 전압은 입력의 50배까지 튈 수 있다는 겁니다. (회로 전체가 아니라 L이나 C 각각에 걸린 전압이면 말이 됩니다. 공진점에서는 이 전압 각각이 크기는 같고 위상은 반대입니다.)

쨋든 그래서, Q가 크면 -> 전압 확대가 크고 -> 대역폭이 좁게 됩니다. 반면에 Q가 작으면 -> 전압 확대는 작아지고 -> 대역폭은 넓어집니다.
'Electronic Engineering > 전자기학(전기기사)' 카테고리의 다른 글
| 4단자망의 기본식 (0) | 2025.12.17 |
|---|---|
| 비정현파 AC (0) | 2025.12.16 |
| 히스테리시스 곡선 (0) | 2025.12.08 |
| 비오-사바르 법칙과 자계 (0) | 2025.12.05 |
| 전기 영상(Projection)법 (0) | 2025.12.03 |