비오-사바르 법칙과 자계
2025. 12. 5. 20:14ㆍElectronic Engineering/전자기학(전기기사)
물리학2에서는 기껏 해봤자 앙페르의 주회법칙만 나오기 때문에 잘 모를 수 있습니다만, 유한길이의 전류에 의한 미소 자계의 세기를 구하려면.. 비오-사바르 법칙을 사용해야 합니다. (무한장에서는 앙페르의 주회법칙을 써야 합니다!) 그래서 저 기기괴괴한 식이 이해가 안될 수도 있습니다만, 대충 아래와 같은 그림을 상상하면 이해가 될겁니다.


대학교 공학수학 또는 그에 준하는 과정을 이수하셨다면 딱히 어렵지는 않??겠습니다만, 문제는 이걸 응용해서 각종 기괴한 모양들에 대한 자계를 구해야 한다는 점 입니다. 당장 극단적인 예시를 보자면...
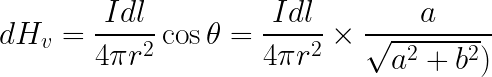
반지름이 a인 원형 코일의 자계의 세기


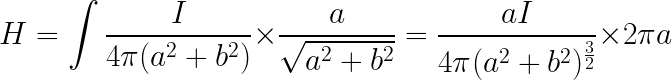
라고 합시다. 이때 dH는 dI에 대한 것이므로 (그림에는 표기가 안되어 있지만) 이를 코일 둘레에 맞춰서 적분하면...

이 됩니다. 또한 원형 코일의 중심은 b=0이므로 위 공식에 b=0를 적절히 박아주면 됩니다. 더불어 원호 모양이 나올 때가 있는데, 이럴때는 호의 길이 구하듯이 각도/2pi를 적절히 곱해주면 답이 나옵니다.
그 외에 유한장 직선도체, 정삼각형, 정사각형, 정육각혁 등 변종은 스킵???하겠습니다.
'Electronic Engineering > 전자기학(전기기사)' 카테고리의 다른 글
| RLC회로와 벡터 (0) | 2025.12.12 |
|---|---|
| 히스테리시스 곡선 (0) | 2025.12.08 |
| 전기 영상(Projection)법 (0) | 2025.12.03 |
| 전기장에서의 가우스 법칙 (0) | 2025.12.01 |
| 전기장에서의 포아송 방정식과 라플라스 방정식 (0) | 2025.11.30 |