전기 영상(Projection)법
전기 영상법은 전하의 존재를 가정하고 대충 이리 저리 계산하는 것을 의미합니다. 주로 접지 상황에서 많이 사용하는데, 다른건 다 필요 없고 일단 그림부터 보면 이해가 가능합니다.

대지 위에 대충 +Q 만큼의 점전하가 있다고 쳐 봅시다. 문제는 이때 대지의 전위는 뭘 하던간에 0이 됩니다. (대자연의 위대함은 항상 강렬한 법입니다.) 근데 문제는 이걸 수학적으로 풀어내기 위해서는, 똑같은 거리만큼 반대편에 -Q가 있다고 가정해야 됩니다. 이것이 바로 전기 영상(투영)법입니다. 그리고 이는 꽤 다양한 상황에서 사용되는데, 각 케이스를 몇가지 나열해 보겠습니다.
1. 무한평면도체

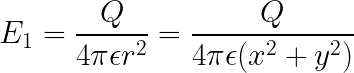
대충 위와같은 상황이 있다 해봅시다. 원래 대로라면 전위가 금방 계산 되겠지만.. 도체가 접지되어 있으므로 V = 0이 됩니다. 그러므로 영상법을 이용하여 반대편에 -Q만큼의 전하가 있다고 가정합시다. 이때 Point에서의 전계 E는 대충 E1, E2로 나눌 수 있습니다. 원점에서 Point까지를 x, 도체에서 Q까지의 거리를 d라고 해보면...


와 같이 생각해 낼 수 있습니다. 이때 좀 기억해 둬야 할 점이 몇가지가 있는데, 대충 도체와 점전하간의 힘/점전하를 무한평면까지 이동시킬때의 일 정도는 유도를 해두면 좋습니다.


2. 접지구도체

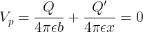
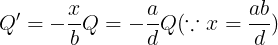
라는 상황이 있다고 해봅시다. 이때 P와 관련된 정보를 구하려 할때, 영상전하 Q'은 아래와 같은 위치에 있게 됩니다. (닮음을 이용해서 유도 가능합니다.)

다만 이때 P의 전위는 0이므로(접지), 아래와 같은 방정식이 나오며 영상전하는 아래와 같은 크기를 가지게 됩니다.


3. 무한평면도체(대지)와 선전하

이 상황에서 E = 영상전하에서의 것 + 원래전하에서의 것이 될겁니다. 따라서

가 됩니다. 더불어 이때 선전하가 대지로 부터 받는 힘은 선전하와 영상선전하 사이의 힘과 동일합니다. F = QE니까 열심히 잘 지지고 볶아주면 됩니다. 더불어 대지와 선전하 사위의 전위는 아래와 같이 구할 수 있습니다.

